
via DOJ / BroBible
Just when you thought the “Epstein Files” could not get any more sprawling or bizarre, we have hit the intersection of high-finance depravity and the secondary ticket market.
New documents released under the Epstein Files Transparency Act have pulled back the curtain on an alleged $30 million business pitch that would make any music fan’s blood boil. It turns out that while we were all fighting for our lives in the 2015 Ticketmaster trenches for the Grateful Dead’s Fare Thee Well 50th-anniversary shows, Epstein was allegedly being courted to bankroll the very “brokers” who were pricing us out.
Profiting Off “Fare Thee Well”
According to the unsealed DOJ documents, in December 2015, businessman Joe Meli, who was later sentenced to 37 months in prison for a Broadway Hamilton ticket resale scheme, and his partner, named in the documents from the DOJ website below, sent a formal proposal to Epstein. The goal, allegedly, was a “factoring business” focused on bulk-buying high-demand tickets and flipping them for astronomical returns.
The screenshots of the emails on the DOJ website show an alleged ticket reselling opportunity, using the Dead as a proof-of-concept for just how much they could gouge a dedicated fanbase.
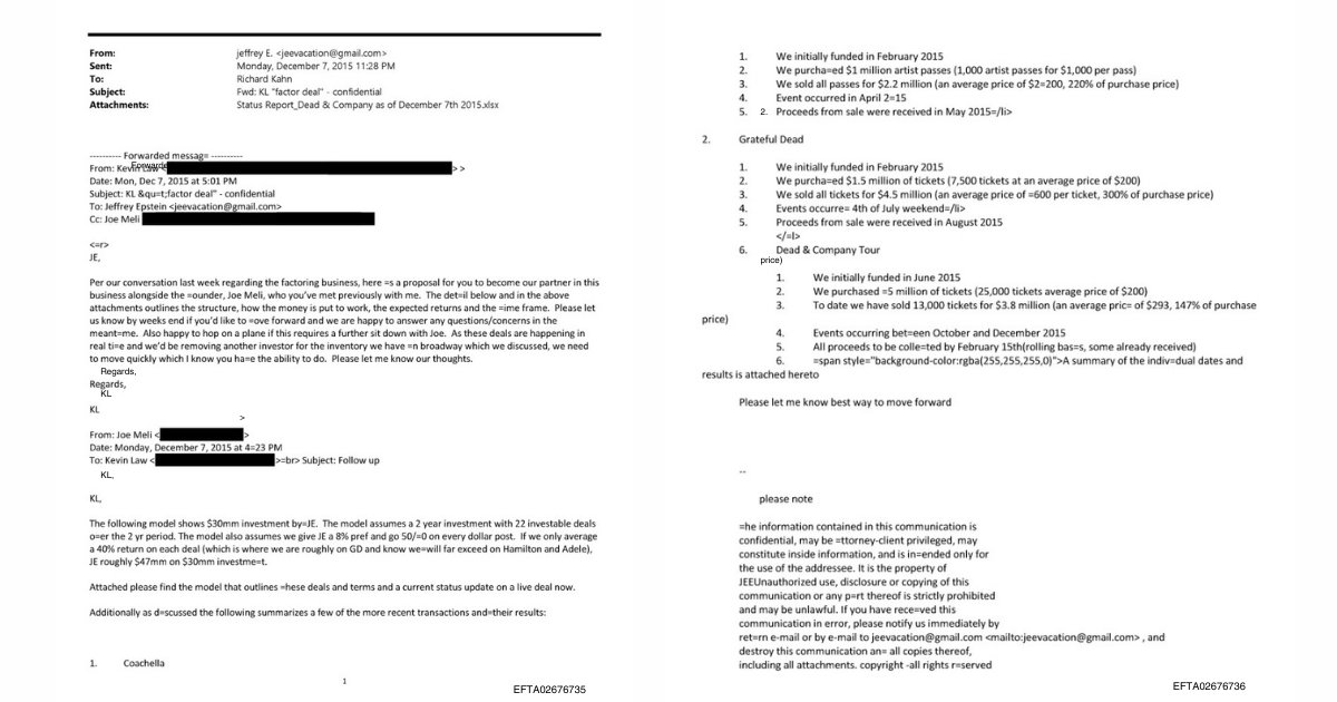
For the Grateful Dead’s summer 2015 Fare Thee Well 50th-anniversary shows, the group bragged about snagging $1.5 million worth of tickets. This total represented roughly 7,500 seats at an average of $200, which they flipped for a staggering $4.5 million. This was claimed as a 300% return extracted directly from Deadheads who just wanted to see the “Core Four” of Phil Lesh, Bob Weir, Mickey Hart, and Bill Kreutzmann one last time with Trey Anastasio, Oteil Burbridge, and Jeff Chimenti at the Santa Clara and Chicago shows.

via DOJ
This hits a little too close to home for many of us. At the time, I was personally low on cash on my BroBible blogger salary in New York City and desperate to find a way to Chicago for those final shows. Like so many other fans, I found the secondary market prices completely off-putting and ended up stuck at home. I still went to the bar and watched the live streams, but man… how I wish I was there. Knowing now that a man like Jeffrey Epstein was allegedly being pitched to profit from that exact scarcity is enough to make any head’s stomach turn. But hey, the free market is going to free market, right?
The operation did not stop there. According to the DOJ emails, the scheme allegedly extended into the festival and theater worlds as well. The documents suggest they flipped $1 million in Coachella artist passes for $2.2 million. The “investors” were allegedly already setting their sights on upcoming Adele and Hamilton dates as their next big scores. The emails also claim they cornered the market for Dead & Company’s inaugural 2015 Fall Tour by grabbing 25,000 tickets, which had allegedly already grossed $3.8 million by that December.
The Profiteer’s Playbook
It is easy to get lost in the darker details of the Epstein saga, but this ticket scheme is a reminder of how the “uber-rich” view everything as an asset to be extracted. This remains true whether they are dealing with a global financial system or a concert ticket.
Epstein’s involvement in the economy’s mechanisms runs deep. Long before the ticket schemes, he was a “limited partner” at Bear Stearns in the 1980s. His ties to the firm were so significant that he eventually became a central figure in the fallout of the 2008 financial crisis. Reports from the New York Post indicate that Epstein had over $57 million invested in the very Bear Stearns hedge funds whose implosion triggered the wider global crash. It is even more eyebrow-raising that in 2011, JPMorgan, which had acquired the failing Bear Stearns, paid Epstein a $9 million payment after he sued them for his losses. He had originally sought $70 million because he claimed he was misled by officials at his former firm just before it collapsed.
The association with Bitcoin is also supported by documented ties. Investigations into the MIT Media Lab revealed that Joi Ito, the lab’s former director, accepted at least $7.5 million from Epstein, with a significant portion directed toward the Digital Currency Initiative. This initiative was foundational to the development of Bitcoin Core. Furthermore, it has been confirmed that Epstein hosted a meeting in 2014 with Wladimir van der Laan, then the lead maintainer of Bitcoin’s software, to discuss the future of the technology.
It’s Hard to Run With the Weight of Gold
There is a special kind of irony in Jeffrey Epstein—a man synonymous with the most heinous crimes imaginable—trying to profit off something as beloved as the Grateful Dead. The Dead’s whole grassroots ethos is built on community, sharing the music, and a hope that the scene is separate from the cold, calculating world of Wall Street.
But the reality is that the magic of the scene is a commodity to the greedy. Many bands have tried to combat this with first-access programs for fans. But things still fall through the cracks, and those 7,500 Fare Thee Well tickets were not a chance for fans to find some communal joy. They were just line items in an alleged $30 million investment pitch designed to net Epstein an 8% preferred return.
While the documents do not confirm if Epstein actually wired the cash, the fact that this was the business he was seen as a perfect partner for tells you everything you need to know.
It is also important to note that the released documents contain no indication that the band members, their management, or the ticket platforms themselves were involved in or aware of this specific resale operation.
Next time you are on a resale site looking at a $600 nosebleed or Coachella tickets on a secondary market, remember that the markup is not going to the bands.
In fact, in 2015, it might have been headed for an extremely creepy private island. Eek.
The full documents are currently available via the U.S. Department of Justice’s public portal.